티스토리 뷰
양자역학에서 가장 중요한 하나는 슈뢰딩거 방정식이다. 이식은 시간 변화를 기술하며, 미시 세계에서 입자의 운동을 설명하는 기본 원리로 사용된다. 고전 물리학에서는 뉴턴의 운동이 중요한 역할을 하지만, 미시 세계에서는 그 역할을 대신한다. 개념과 의미, 수학적 표현, 그리고 다양한 응용 분야에 대해 설명한다.
슈뢰딩거 방정식이란?
양자역학에서 입자의 파동 함수의 시간적 변화를 설명한다. 이는 고전 역학에서 뉴턴의 운동이 물체의 위치와 속도를 기술하는 것과 유사하게, 미시 세계에서 입자의 상태를 기술하는 역할을 한다.

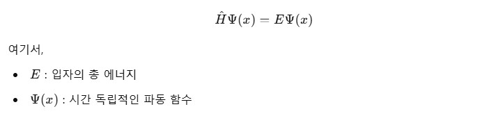
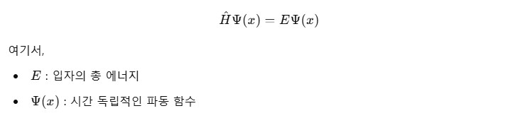
② 일정한 에너지를 가진 시스템에서는 시간에 대한 의존성을 제거한 형태로 나타낼 수 있다.

이 방정식은 양자역학에서 중요한 역할을 하며, 원자의 전자 에너지 준위와 같은 다양한 물리적 현상을 설명하는 데 사용된다.
핵심 개념 중 하나는 파동 함수이다. 파동 함수는 입자의 상태를 기술하는 함수이며, 이를 통해 입자의 위치와 운동량을 확률적으로 예측할 수 있다.
① 확률 밀도 함수
막스 본(Max Born)은 파동 함수의 제곱이 확률 밀도를 나타낸다고 제안했다.

이 값은 특정 위치에서 입자를 발견할 확률을 의미하며, 이는 고전 물리학에서 입자의 위치를 결정할 수 있는 것과는 근본적으로 다른 개념이다.
② 정규화 조건 입자가 존재할 확률은 100%이므로, 파동 함수는 다음 조건을 만족해야 한다.

즉, 모든 공간에서 확률을 합하면 반드시 1이 되어야 한다. 이러한 개념은 양자역학이 확률론적인 성격을 띠고 있음을 보여준다.
슈뢰딩거 방정식 응용 원리
다양한 양자 시스템을 설명하는 데 사용된다.
① 무한 포텐셜 우물 (Infinite Potential Well) 가장 기본적인 시스템 중 하나로, 입자가 특정한 경계 내에서만 존재할 수 있는 상황을 설명한다.
입자의 에너지가 양자화(Quantized) 되어 있어, 특정한 값만 가질 수 있음. 전자의 에너지 준위를 설명하는 데 사용됨.
② 조화 진동자 (Quantum Harmonic Oscillator) 고전적인 단순 조화 진동자(용수철 운동)의 양자역학적 버전. 물리학, 화학, 나노과학 등 다양한 분야에서 활용됨.
③ 수소 원자의 에너지 준위 수소 원자의 전자는 특정한 에너지 준위를 가지며, 이를 통해 계산할 수 있다.

이 공식을 통해 원자의 스펙트럼과 에너지 준위를 예측할 수 있다.
단순한 이론적 연구를 넘어 다양한 현대 기술의 기반이 된다.
① 반도체와 전자공학 반도체 소자의 동작 원리를 설명하는 데 사용됨. 트랜지스터와 집적 회로 설계에 필수적인 개념.
② 컴퓨팅 비트(Qubit)의 상태 변화를 기술하는 데 사용됨. 양자 알고리즘의 개발에 핵심적인 역할을 함.
③ 양자 화학 및 신약 개발 분자의 전자 구조를 계산하여 신약을 설계하는 데 활용됨. 분자와 원자의 상호작용을 정확하게 예측하는 데 사용됨.
슈뢰딩거 방정식 이해하기
수학적으로 복잡해 보일 수 있지만, 개념적으로 접근하면 쉽게 이해할 수 있다.
① 물리적 의미 파악하기 파동 함수는 입자의 상태를 나타내며, 이를 제곱하면 입자가 존재할 확률을 알 수 있다. 해밀토니 안 연산자는 에너지를 나타내며, 이를 통해 입자의 운동을 설명할 수 있다.
② 시각적 자료 활용하기 유튜브, Khan Academy, MIT OpenCourseWare 등의 강의를 활용하여 개념을 시각적으로 이해하는 것이 좋다.
③ 문제 풀이 연습하기 기본적인 양자역학 문제(무한 포텐셜 우물, 조화 진동자, 수소 원자 모델 등)를 직접 풀어보면 개념을 더욱 확실하게 익힐 수 있다.
가장 중요한 수식 중 하나로, 미시 세계에서 입자의 운동을 기술하는 역할을 한다. 이를 통해 파동 함수의 의미를 이해하고, 확률적인 상태를 분석할 수 있다.
또한, 반도체, 컴퓨팅, 화학 등 다양한 현대 기술에 적용되고 있으며, 이를 학습하는 것은 과학과 기술 발전을 이해하는 데 중요한 과정이다. 깊이 이해하면, 양자역학의 핵심 개념을 완전히 파악할 수 있을 것이다.
